找回密码
 立即注册(请使用中文注册)

微信登录

微信扫一扫,快速登录

搜索
热搜: 活动 交友 discuz
查看: 1180|回复: 0

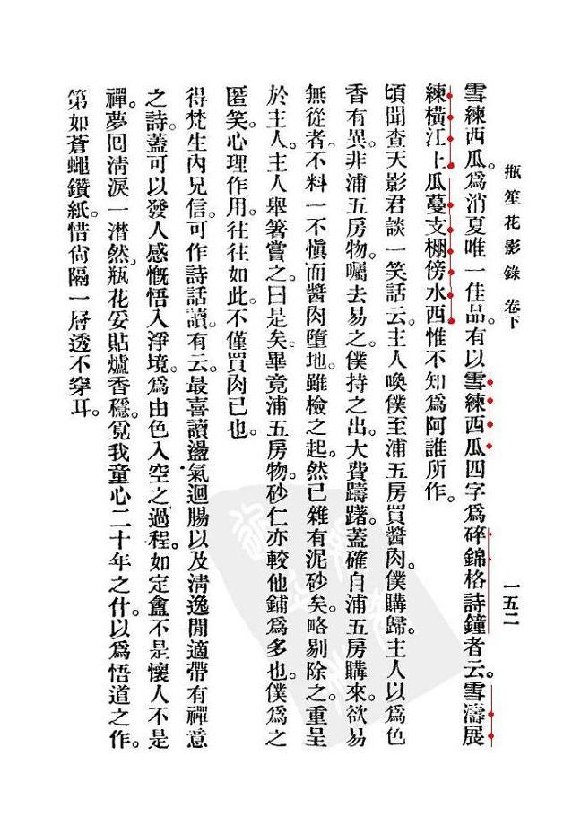
瓶笙花影录 载 雪练西瓜 诗钟

[复制链接]

6141

主题

948

回帖

6万

积分

管理员

积分
63186
发表于 2023-7-18 16:09 | 显示全部楼层 |阅读模式

马上注册,结交更多好友,享用更多功能,让你轻松玩转社区。

您需要 登录 才可以下载或查看,没有账号?立即注册(请使用中文注册) 微信登录

×
未命名.JPG
雅玩清谈 闲吟漫识
回复

使用道具 举报

Archiver|手机版|小黑屋|联钥网 ( 滇ICP备2021005283号 )

GMT+8, 2026-1-22 09:10 , Processed in 0.114469 second(s), 7 queries , File On.

Powered by Discuz! X3.5

© 2001-2025 Discuz! Team.

快速回复 返回顶部 返回列表